Homework: Linear Stories Packet 9-17 must be finished. I will check for completion as well as choose one to grade for correctness.
Notes:
Quadratic Notes
Mrs. Gordon's Awesome Algebra Classes!
Wednesday, March 6, 2013
Thursday, February 28, 2013
2-27-13 and 2-28-13
Notes on Substitution
Calculator notes on how to solve for the solution to a system of equations (where the lines intersect)
Homework: Worksheet Working with Linear Equations
Extra Credit: Pg 835 7-2 problems 1-15 (solve for y and then graph it using a graphing calculator)
Wednesday, February 20, 2013
Feb. 18th and 19th
Students turned in the packet on graphing lines and solving for slope intercept form.
QUIZ next Class on Graphing Lines and Solving for Slope intercept form and also Soar Test
Homework: Packet on 7-1 front and back of first page graph and find the solutions
7-2 Solve by Substitution.
I would post examples on here but have no means right now of using my smartboard or screen capture. I will post some soon!
Examples should have been copied down from class and It is in the Textbook pg 369-382
This would also be a good place to pull extra practice from!
QUIZ next Class on Graphing Lines and Solving for Slope intercept form and also Soar Test
Homework: Packet on 7-1 front and back of first page graph and find the solutions
7-2 Solve by Substitution.
I would post examples on here but have no means right now of using my smartboard or screen capture. I will post some soon!
Examples should have been copied down from class and It is in the Textbook pg 369-382
This would also be a good place to pull extra practice from!
Thursday, February 14, 2013
2-13 2-14
Finish graphing Lines packet (not linear Stories packet) for next class! Please make sure to look over packet that says Study Guide and Intervention 7-1 and look at Systems of equations. We will be starting that next class.
Solutions: where lines touch or cross
Parallel lines: will never touch will never have a solutions
Perpendicular lines: where they cross at that coordinate point is the the solution to those two lines
Lines that are the same line just by a different name.... in other words they lay directly on top of each other and touch every where have INFINTE SOLUTIONS
Solutions: where lines touch or cross
Parallel lines: will never touch will never have a solutions
Perpendicular lines: where they cross at that coordinate point is the the solution to those two lines
Lines that are the same line just by a different name.... in other words they lay directly on top of each other and touch every where have INFINTE SOLUTIONS
Tuesday, February 12, 2013
2-11-13 2-12-13
We are currently finishing our first of many quizes coming up! Our next quiz will be on linear equations and systems of equations.Most likely the quiz will be the begining of the following week. We will then quickly move on to factoring and then take a quiz on it then move onto graphing quadratic equations and then taking a quiz on that. This currently what is assigned as of yesterday and today. The packets were not handed out to A day students so they will recieve the packets tomorrow!
REMEMBER.... I TUTOR EVERY MORNING from 8-8:30 and A-DAY 1st LUNCH. YOU NEED TO COME READY TO ASK QUESTIONS! THIS IS NOT AN EXTRA LESSON I AM PREPARING JUST FOR ONE STUDENT. I AM MORE THAN HAPPY TO HELP WITH HOMEWORK, QUESTIONS YOU ARE STUDYING ON YOUR OWN BUT COME WITH QUESTIONS READY.
As always I need you to email me or let me know in class if you are having difficulties! Lorraine.gordon@lrsd.org
Remember we covered all of this before the Christmas break and you are responsible for retaining information taught!
REMEMBER.... I TUTOR EVERY MORNING from 8-8:30 and A-DAY 1st LUNCH. YOU NEED TO COME READY TO ASK QUESTIONS! THIS IS NOT AN EXTRA LESSON I AM PREPARING JUST FOR ONE STUDENT. I AM MORE THAN HAPPY TO HELP WITH HOMEWORK, QUESTIONS YOU ARE STUDYING ON YOUR OWN BUT COME WITH QUESTIONS READY.
As always I need you to email me or let me know in class if you are having difficulties! Lorraine.gordon@lrsd.org
Remember we covered all of this before the Christmas break and you are responsible for retaining information taught!
Friday, February 8, 2013
Pg 595 14-25 Homework
Since we have been strapped for time I am posting the answers to the homework on here and will let you check your answers. I am also posting them worked out. If you have a question please feel free to email me at Lorraine.gordon@lrsd.org
Thursday, February 7, 2013
2-7-13 and 2-8-13 Notes and assignments
Homework due next class: pg 844 Chapter 11-1 3,4,8,10,13,15,18 (top of page)
pg 844 Chapter 11-2 2,3,5,7,9,11
Bellwork today we reviewed solving for slope intercept form and took notes on parallel and perpendicular lines as we will be moving into Systems of equations after the QUIZ during the Next Class.
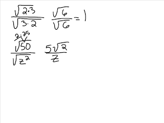
Quiz will be on Simplifying Radical Expressions
Here are some examples we went over in class!
http://glencoe.mcgraw-hill.com/sites/0078738229/student_view0/chapter10/lesson1/extra_examples.html
the link above are some extra notes to simplifying Radical expressions
ALGEBRA 1 YOU MUST SCORE PROFICIENT OR ADVANCED on the EOC!
Students that do poorly on the EOC will not GRADUATE! Please! This is a HUGE class!
REMEMBER Tutoring from 8-8:30 every Monday-Thursday and during A1 lunches!
I also am starting to see some students not work in class or take notes or try in class. I know the practice is sometimes boring and I know that we do a lot of practicing in class but we need the practice and I am still not seeing the grades I want to see. We have so much still yet to cover! Please encourage your child to take notes in class and stay alert and on task. They may bring a coke or chew gum in order to help them stay awake!
pg 844 Chapter 11-2 2,3,5,7,9,11
Bellwork today we reviewed solving for slope intercept form and took notes on parallel and perpendicular lines as we will be moving into Systems of equations after the QUIZ during the Next Class.
Quiz will be on Simplifying Radical Expressions
Here are some examples we went over in class!
http://glencoe.mcgraw-hill.com/sites/0078738229/student_view0/chapter10/lesson1/extra_examples.html
the link above are some extra notes to simplifying Radical expressions
ALGEBRA 1 YOU MUST SCORE PROFICIENT OR ADVANCED on the EOC!
Students that do poorly on the EOC will not GRADUATE! Please! This is a HUGE class!
REMEMBER Tutoring from 8-8:30 every Monday-Thursday and during A1 lunches!
I also am starting to see some students not work in class or take notes or try in class. I know the practice is sometimes boring and I know that we do a lot of practicing in class but we need the practice and I am still not seeing the grades I want to see. We have so much still yet to cover! Please encourage your child to take notes in class and stay alert and on task. They may bring a coke or chew gum in order to help them stay awake!
Monday, January 28, 2013
Welcome back and Sorry I am just now posting
Welcome Back! Here is a list of homework assignments we have had so far.
Pg 719 28,29,30,32,33,34,36
Pg 597 54-56
Pg 585 1-12
We will be checking the page 585 for correctness today during bellwork and tomorrow for B-day students. We are currently working on Simplifying Radicals and we are begining adding, subtracting, multiplying and dividing radicals.
Upcoming Homework tonight pg 590 15-26 and tomorrow night for B students.
I will be trying to post some notes as the day goes on!
Gordon
Pg 719 28,29,30,32,33,34,36
Pg 597 54-56
Pg 585 1-12
We will be checking the page 585 for correctness today during bellwork and tomorrow for B-day students. We are currently working on Simplifying Radicals and we are begining adding, subtracting, multiplying and dividing radicals.
Upcoming Homework tonight pg 590 15-26 and tomorrow night for B students.
I will be trying to post some notes as the day goes on!
Gordon
Friday, December 14, 2012
Subscribe to:
Comments (Atom)





































































